Are you looking for a fun and educational way to engage your child or students? Look no further than worksheet printables! These versatile resources are a fantastic tool for teaching and learning.
Whether you’re a busy parent, a dedicated teacher, or a motivated student, worksheet printables offer a wide range of benefits. From improving academic skills to fostering creativity, there’s something for everyone!

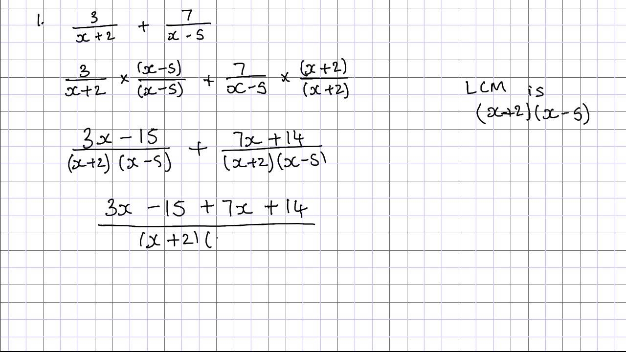
write as a single fraction
Worksheet Printable
For parents, worksheet printables can be a lifesaver. They provide a structured way to reinforce learning at home, helping children practice essential skills in a fun and interactive way. Plus, they’re great for keeping little ones entertained!
Teachers can also make the most of worksheet printables in the classroom. These resources can supplement lesson plans, assess student understanding, and even serve as homework assignments. They’re a valuable addition to any educator’s toolkit.
As for students, worksheet printables offer a chance to practice what they’ve learned in an engaging format. Whether it’s math, language arts, or science, these worksheets provide a hands-on approach to mastering new concepts and skills.
So why not give worksheet printables a try today? Whether you’re teaching, learning, or simply looking for a fun activity, these resources are sure to bring value to your educational journey. Start printing and exploring the possibilities!