Looking for a fun and educational way to engage your kids or students? Enter the world of worksheet printables! These handy resources offer a wide range of activities that can benefit everyone involved.
Whether you’re a parent looking to supplement your child’s learning or a teacher searching for engaging class materials, worksheet printables have got you covered. From math and language arts to science and social studies, there’s a printable for every subject!

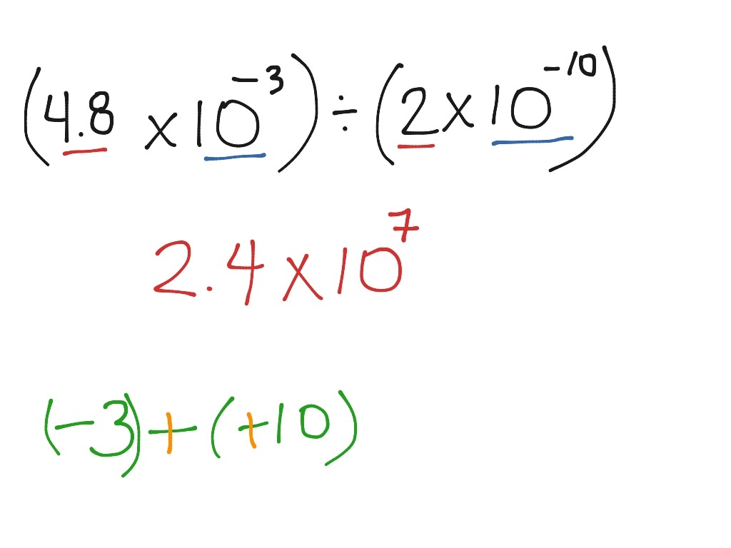
how to multiply scientific notation
Worksheet Printable
Parents can use worksheet printables to reinforce concepts learned in school, provide extra practice, or even introduce new topics in a fun and interactive way. These resources can be a lifesaver for busy parents looking to support their child’s academic growth at home.
Teachers can incorporate worksheet printables into lesson plans to assess student understanding, encourage critical thinking, and promote independent learning. These printables can be customized to suit different learning styles and abilities, making them a versatile tool in the classroom.
For students, worksheet printables offer a hands-on approach to learning that can make studying more enjoyable and effective. Whether used as homework assignments, study guides, or review materials, these printables can help students master key concepts and boost their academic performance.
So, whether you’re a parent, teacher, or student, consider adding worksheet printables to your educational toolkit. With their flexibility, accessibility, and effectiveness, these resources are sure to enhance the learning experience for everyone involved. Start exploring the world of worksheet printables today!

Multiplying Scientific Notation Examples Practice Expii

If you’re just starting, worksheet printable brings learning to life.
Thanks to thoughtful curation, it’s easy to stay motivated every day.
MULTIPLICATION AND DIVISION OF SCIENTIFIC NOTATION PHYSICS 1 YouTube

Multiplying In Scientific Notation YouTube

How To Multiply In Scientific Notation Mathcation YouTube

Scientific Notation Multiplication And Division YouTube
Keep coming back to worksheet printable for printables galore and stretch your thinking.
Whether it’s for classroom support, worksheet printable is your learning ally. Your kids will thank you!